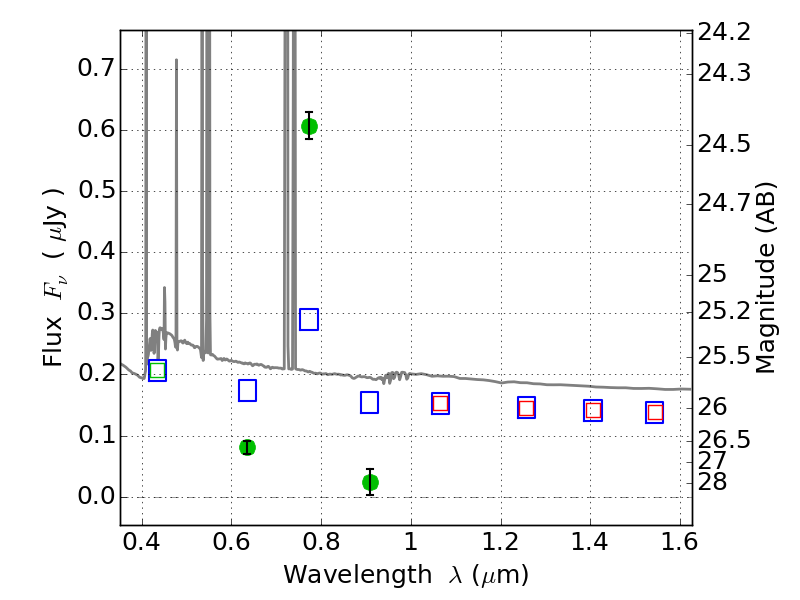
CL0152-13 ACS+IR detection object #22864

Color images and BPZ results
Catalog: 22864.cat
Black segments are analyzed here.   Roll mouse over color images to view segments.
Best viewed in a wide browser window (1200 pixels or more).   Download SED & P(z) plots to view larger versions.
In P(z) plots: Yellow lines mark the cluster redshift z = 0.833,  

Object #22864   x,y = (2802, 7289)   RA, Dec = (01:52:50.640, -13:54:43.56) = (28.21100, -13.91210)   BPZ = 0.100 [0.083--0.115]   type = 11.00 (SB11_A_0_l)   chisq2 = 157.70   ODDS = 1.00   z_cluster = 0.833