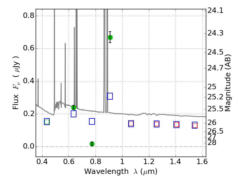
CL0152-13 ACS+IR detection object #22615

Color images and BPZ results
Catalog: 22615.cat
Black segments are analyzed here.   Roll mouse over color images to view segments.
Best viewed in a wide browser window (1200 pixels or more).   Download SED & P(z) plots to view larger versions.
In P(z) plots: Yellow lines mark the cluster redshift z = 0.833,  

Object #22615   x,y = (2908, 7401)   RA, Dec = (01:52:50.208, -13:54:36.72) = (28.20920, -13.91020)   BPZ = 0.321 [0.303--0.348]   type = 11.00 (SB11_A_0_l)   chisq2 = 120.20   ODDS = 1.00   z_cluster = 0.833