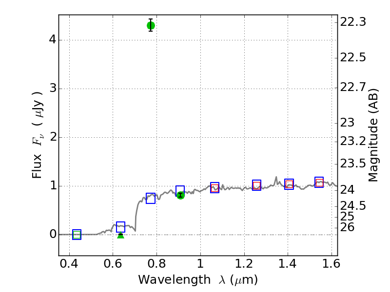
CL0152-13 ACS+IR detection object #21193

Color images and BPZ results
Catalog: 21193.cat
Black segments are analyzed here.   Roll mouse over color images to view segments.
Best viewed in a wide browser window (1200 pixels or more).   Download SED & P(z) plots to view larger versions.
In P(z) plots: Yellow lines mark the cluster redshift z = 0.833,  

Object #21193   x,y = (3602, 8149)   RA, Dec = (01:52:47.352, -13:53:51.72) = (28.19730, -13.89770)   BPZ = 4.789 [4.754--4.872]   type = 9.00 (SB2_B10)   chisq2 = 602.00   ODDS = 1.00   z_cluster = 0.833