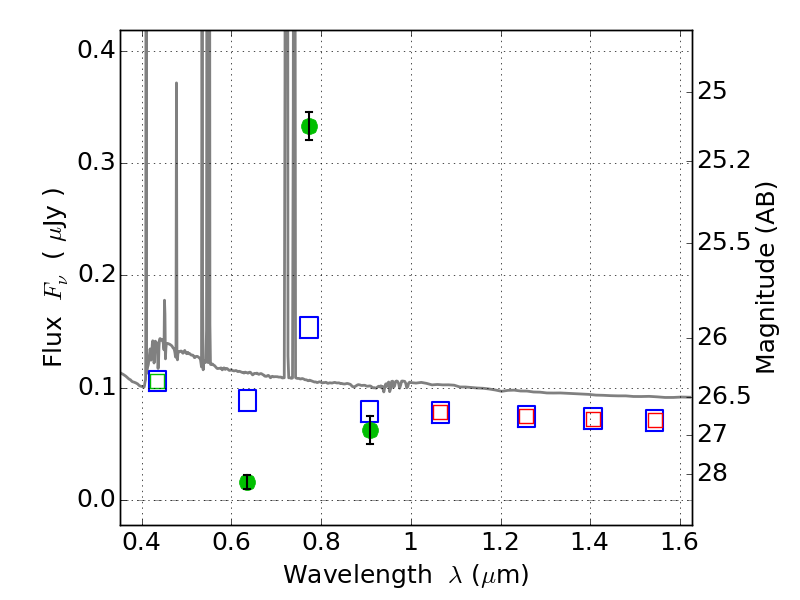
CL0152-13 ACS+IR detection object #20428

Color images and BPZ results
Catalog: 20428.cat
Black segments are analyzed here.   Roll mouse over color images to view segments.
Best viewed in a wide browser window (1200 pixels or more).   Download SED & P(z) plots to view larger versions.
In P(z) plots: Yellow lines mark the cluster redshift z = 0.833,  

Object #20428   x,y = (4051, 8693)   RA, Dec = (01:52:45.504, -13:53:19.32) = (28.18960, -13.88870)   BPZ = 0.099 [0.082--4.786]   type = 11.00 (SB11_A_0_l)   chisq2 = 163.50   ODDS = 0.81   z_cluster = 0.833