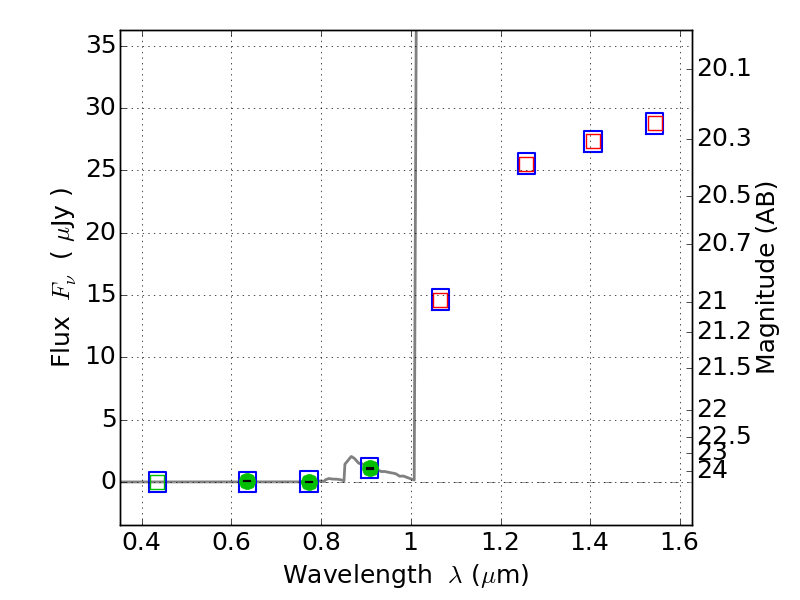
CL0152-13 ACS+IR detection object #20140

Color images and BPZ results
Catalog: 20140.cat
Black segments are analyzed here.   Roll mouse over color images to view segments.
Best viewed in a wide browser window (1200 pixels or more).   Download SED & P(z) plots to view larger versions.
In P(z) plots: Yellow lines mark the cluster redshift z = 0.833,  

Object #20140   x,y = (4387, 9044)   RA, Dec = (01:52:44.112, -13:52:58.08) = (28.18380, -13.88280)   BPZ = 7.304 [7.179--7.623]   type = 9.00 (SB2_B10)   chisq2 = 0.00   ODDS = 0.98   z_cluster = 0.833