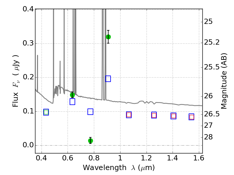
CL0152-13 ACS+IR detection object #16849

Color images and BPZ results
Catalog: 16849.cat
Black segments are analyzed here.   Roll mouse over color images to view segments.
Best viewed in a wide browser window (1200 pixels or more).   Download SED & P(z) plots to view larger versions.
In P(z) plots: Yellow lines mark the cluster redshift z = 0.833,  

Object #16849   x,y = (1611, 6105)   RA, Dec = (01:52:55.560, -13:55:54.48) = (28.23150, -13.93180)   BPZ = 0.320 [0.302--0.349]   type = 11.00 (SB11_A_0_l)   chisq2 = 59.70   ODDS = 1.00   z_cluster = 0.833