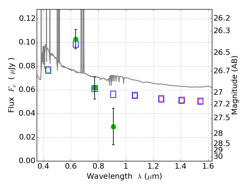
CL0152-13 ACS+IR detection object #14095

Color images and BPZ results
Catalog: 14095.cat
Black segments are analyzed here.   Roll mouse over color images to view segments.
Best viewed in a wide browser window (1200 pixels or more).   Download SED & P(z) plots to view larger versions.
In P(z) plots: Yellow lines mark the cluster redshift z = 0.833,  

Object #14095   x,y = (870, 5228)   RA, Dec = (01:52:58.608, -13:56:47.04) = (28.24420, -13.94640)   BPZ = 0.031 [0.011--0.054]   type = 11.00 (SB11_A_0_l)   chisq2 = 2.79   ODDS = 1.00   z_cluster = 0.833