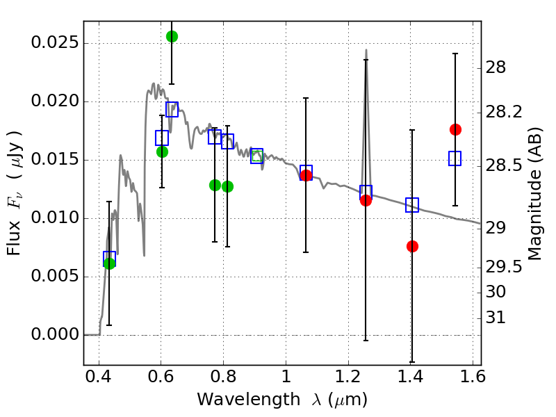
ACT0102-49 ACS+IR detection object #9394

Color images and BPZ results
Catalog: 9394.cat
Black segments are analyzed here.   Roll mouse over color images to view segments.
Best viewed in a wide browser window (1200 pixels or more).   Download SED & P(z) plots to view larger versions.
In P(z) plots: Yellow lines mark the cluster redshift z = 0.870,  

Object #9394   x,y = (4558, 3803)   RA, Dec = (01:02:51.192, -49:15:33.84) = (15.71330, -49.25940)   BPZ = 3.505 [0.283--3.876]   type = 11.00 (SB11_A_0_l)   chisq2 = 0.61   ODDS = 0.38   z_cluster = 0.870