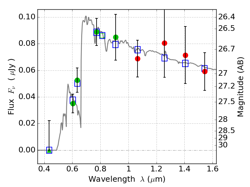
ACT0102-49 ACS+IR detection object #5506

Color images and BPZ results
Catalog: 5506.cat
Black segments are analyzed here.   Roll mouse over color images to view segments.
Best viewed in a wide browser window (1200 pixels or more).   Download SED & P(z) plots to view larger versions.
In P(z) plots: Yellow lines mark the cluster redshift z = 0.870,  

Object #5506   x,y = (2277, 2501)   RA, Dec = (01:03:05.160, -49:16:51.96) = (15.77150, -49.28110)   BPZ = 4.439 [3.695--4.610]   type = 10.50 (SB11_A_0_l - SB3_B10)   chisq2 = 0.12   ODDS = 0.89   z_cluster = 0.870