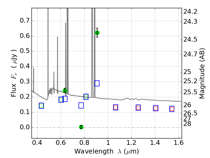
ACT0102-49 ACS+IR detection object #3925

Color images and BPZ results
Catalog: 3925.cat
Black segments are analyzed here.   Roll mouse over color images to view segments.
Best viewed in a wide browser window (1200 pixels or more).   Download SED & P(z) plots to view larger versions.
In P(z) plots: Yellow lines mark the cluster redshift z = 0.870,  

Object #3925   x,y = (302, 2009)   RA, Dec = (01:03:17.280, -49:17:21.12) = (15.82200, -49.28920)   BPZ = 0.321 [0.303--0.346]   type = 11.00 (SB11_A_0_l)   chisq2 = 136.27   ODDS = 1.00   z_cluster = 0.870