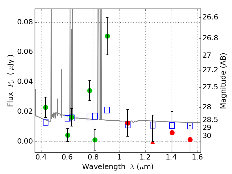
ACT0102-49 ACS+IR detection object #19335

Color images and BPZ results
Catalog: 19335.cat
Black segments are analyzed here.   Roll mouse over color images to view segments.
Best viewed in a wide browser window (1200 pixels or more).   Download SED & P(z) plots to view larger versions.
In P(z) plots: Yellow lines mark the cluster redshift z = 0.870,  

Object #19335   x,y = (5076, 4025)   RA, Dec = (01:02:48.024, -49:15:20.52) = (15.70010, -49.25570)   BPZ = 0.280 [0.153--3.926]   type = 11.00 (SB11_A_0_l)   chisq2 = 5.18   ODDS = 0.09   z_cluster = 0.870