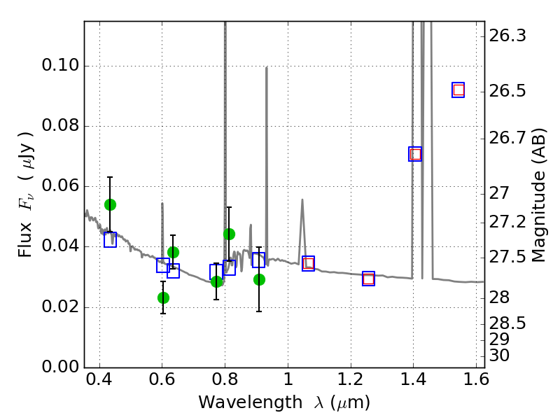
ACT0102-49 ACS+IR detection object #17910

Color images and BPZ results
Catalog: 17910.cat
Black segments are analyzed here.   Roll mouse over color images to view segments.
Best viewed in a wide browser window (1200 pixels or more).   Download SED & P(z) plots to view larger versions.
In P(z) plots: Yellow lines mark the cluster redshift z = 0.870,  

Object #17910   x,y = (2505, 4514)   RA, Dec = (01:03:03.768, -49:14:51.00) = (15.76570, -49.24750)   BPZ = 1.151 [0.619--2.563]   type = 11.00 (SB11_A_0_l)   chisq2 = 1.66   ODDS = 0.12   z_cluster = 0.870