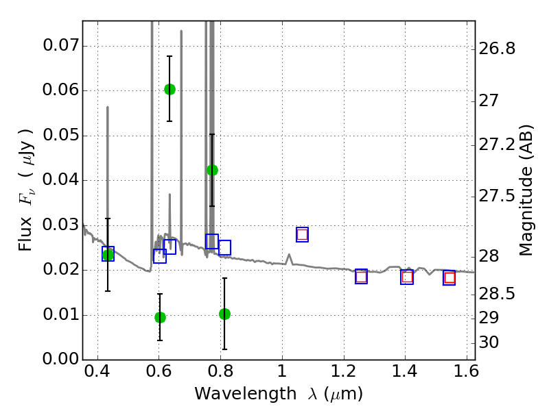
ACT0102-49 ACS+IR detection object #14856

Color images and BPZ results
Catalog: 14856.cat
Black segments are analyzed here.   Roll mouse over color images to view segments.
Best viewed in a wide browser window (1200 pixels or more).   Download SED & P(z) plots to view larger versions.
In P(z) plots: Yellow lines mark the cluster redshift z = 0.870,  

Object #14856   x,y = (5078, 5489)   RA, Dec = (01:02:48.000, -49:13:52.32) = (15.70000, -49.23120)   BPZ = 0.553 [0.226--3.642]   type = 11.00 (SB11_A_0_l)   chisq2 = 12.92   ODDS = 0.07   z_cluster = 0.870