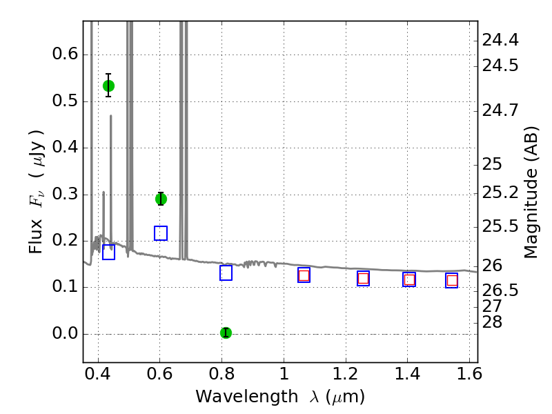
ABELLS295 ACS+IR detection object #6537

Color images and BPZ results
Catalog: 6537.cat
Black segments are analyzed here.   Roll mouse over color images to view segments.
Best viewed in a wide browser window (1200 pixels or more).   Download SED & P(z) plots to view larger versions.
In P(z) plots: Yellow lines mark the cluster redshift z = 0.300,  

Object #6537   x,y = (3493, 367)   RA, Dec = (02:45:22.920, -53:04:35.04) = (41.34550, -53.07640)   BPZ = 0.018 [0.010--1.578]   type = 11.00 (SB11_A_0_l)   chisq2 = 227.81   ODDS = 0.97   z_cluster = 0.300