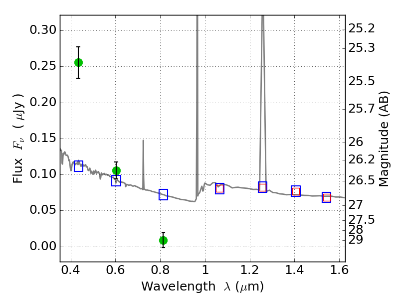
ABELLS295 ACS+IR detection object #5058

Color images and BPZ results
Catalog: 5058.cat
Black segments are analyzed here.   Roll mouse over color images to view segments.
Best viewed in a wide browser window (1200 pixels or more).   Download SED & P(z) plots to view larger versions.
In P(z) plots: Yellow lines mark the cluster redshift z = 0.300,  

Object #5058   x,y = (471, 1587)   RA, Dec = (02:45:43.032, -53:03:21.96) = (41.42930, -53.05610)   BPZ = 1.594 [1.409--2.190]   type = 11.00 (SB11_A_0_l)   chisq2 = 65.72   ODDS = 0.39   z_cluster = 0.300