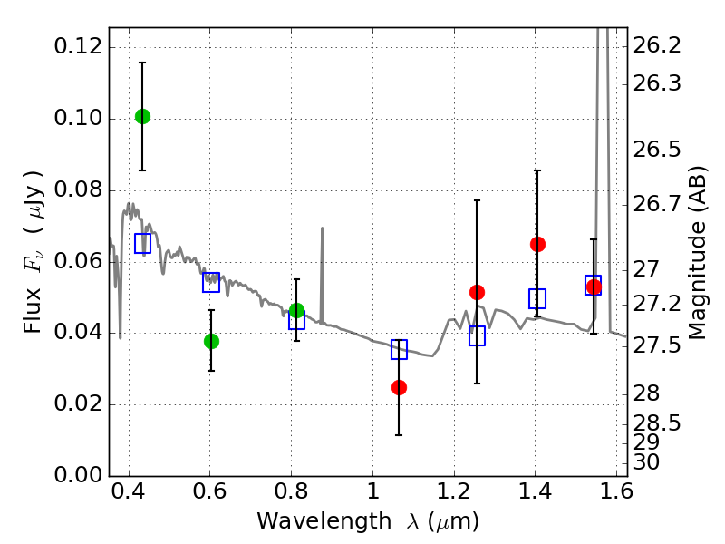
ABELLS295 ACS+IR detection object #4521

Color images and BPZ results
Catalog: 4521.cat
Black segments are analyzed here.   Roll mouse over color images to view segments.
Best viewed in a wide browser window (1200 pixels or more).   Download SED & P(z) plots to view larger versions.
In P(z) plots: Yellow lines mark the cluster redshift z = 0.300,  

Object #4521   x,y = (2407, 1844)   RA, Dec = (02:45:30.144, -53:03:06.48) = (41.37560, -53.05180)   BPZ = 2.130 [0.937--2.550]   type = 11.00 (SB11_A_0_l)   chisq2 = 2.35   ODDS = 0.31   z_cluster = 0.300