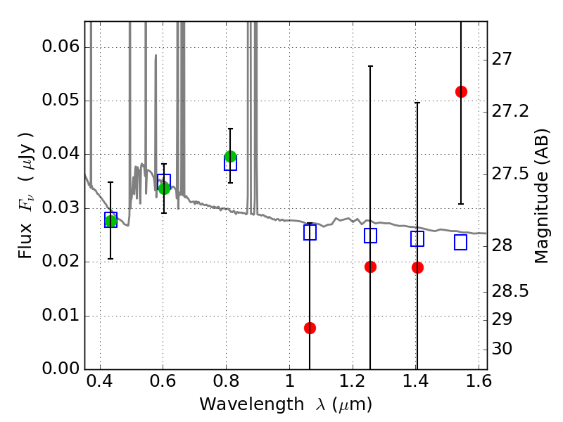
ABELLS295 ACS+IR detection object #3876

Color images and BPZ results
Catalog: 3876.cat
Black segments are analyzed here.   Roll mouse over color images to view segments.
Best viewed in a wide browser window (1200 pixels or more).   Download SED & P(z) plots to view larger versions.
In P(z) plots: Yellow lines mark the cluster redshift z = 0.300,  

Object #3876   x,y = (1049, 2242)   RA, Dec = (02:45:39.168, -53:02:42.72) = (41.41320, -53.04520)   BPZ = 0.333 [0.108--3.343]   type = 11.00 (SB11_A_0_l)   chisq2 = 0.69   ODDS = 0.09   z_cluster = 0.300