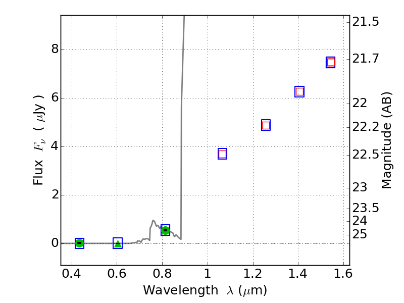
ABELLS295 ACS+IR detection object #876

Color images and BPZ results
Catalog: 876.cat
Black segments are analyzed here.   Roll mouse over color images to view segments.
Best viewed in a wide browser window (1200 pixels or more).   Download SED & P(z) plots to view larger versions.
In P(z) plots: Yellow lines mark the cluster redshift z = 0.300,  

Object #876   x,y = (3848, 3847)   RA, Dec = (02:45:20.568, -53:01:06.24) = (41.33570, -53.01840)   BPZ = 6.272 [5.867--8.958]   type = 6.00 (Sbc_B10)   chisq2 = 0.00   ODDS = 0.38   z_cluster = 0.300