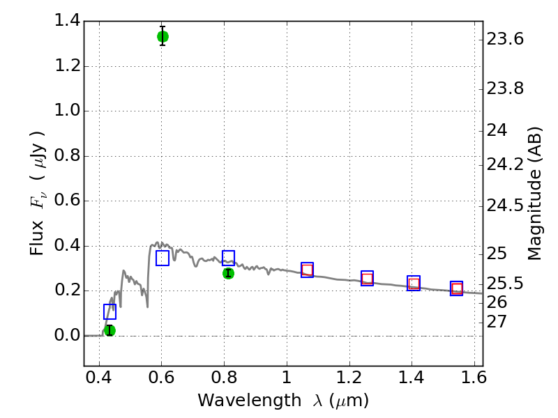
ABELLS295 ACS+IR detection object #5950

Color images and BPZ results
Catalog: 5950.cat
Black segments are analyzed here.   Roll mouse over color images to view segments.
Best viewed in a wide browser window (1200 pixels or more).   Download SED & P(z) plots to view larger versions.
In P(z) plots: Yellow lines mark the cluster redshift z = 0.300,  

Object #5950   x,y = (3915, 1027)   RA, Dec = (02:45:20.112, -53:03:55.44) = (41.33380, -53.06540)   BPZ = 3.581 [3.455--3.648]   type = 11.00 (SB11_A_0_l)   chisq2 = 444.70   ODDS = 1.00   z_cluster = 0.300