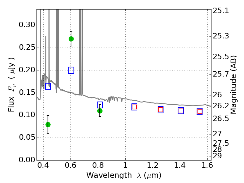
ABELLS295 ACS+IR detection object #2971

Color images and BPZ results
Catalog: 2971.cat
Black segments are analyzed here.   Roll mouse over color images to view segments.
Best viewed in a wide browser window (1200 pixels or more).   Download SED & P(z) plots to view larger versions.
In P(z) plots: Yellow lines mark the cluster redshift z = 0.300,  

Object #2971   x,y = (783, 2736)   RA, Dec = (02:45:40.944, -53:02:12.84) = (41.42060, -53.03690)   BPZ = 0.021 [0.010--0.053]   type = 11.00 (SB11_A_0_l)   chisq2 = 24.46   ODDS = 0.99   z_cluster = 0.300