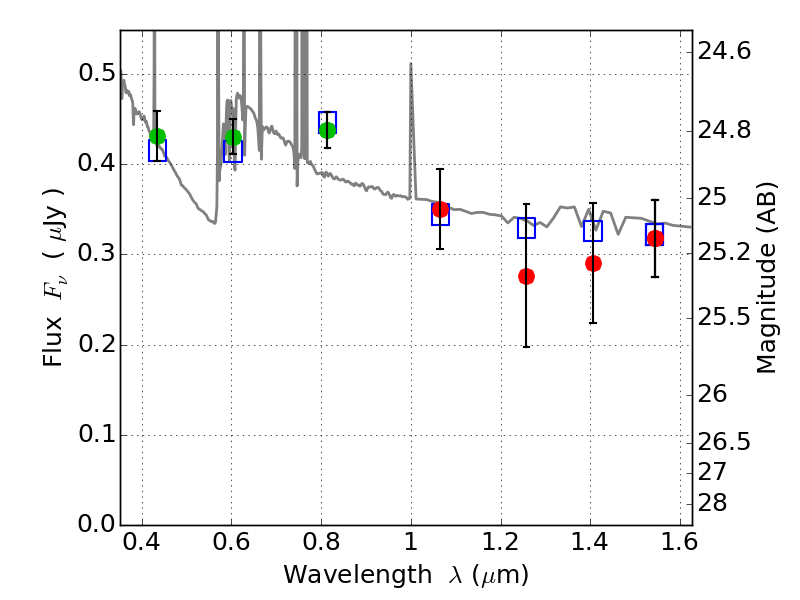
ABELLS295 ACS+IR detection object #1887

Color images and BPZ results
Catalog: 1887.cat
Black segments are analyzed here.   Roll mouse over color images to view segments.
Best viewed in a wide browser window (1200 pixels or more).   Download SED & P(z) plots to view larger versions.
In P(z) plots: Yellow lines mark the cluster redshift z = 0.300,  

Object #1887   x,y = (2535, 3215)   RA, Dec = (02:45:29.280, -53:01:44.40) = (41.37200, -53.02900)   BPZ = 0.532 [0.469--0.812]   type = 11.00 (SB11_A_0_l)   chisq2 = 0.17   ODDS = 0.52   z_cluster = 0.300