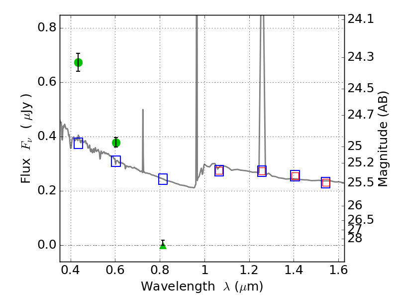
ABELL697 ACS+IR detection object #822

Color images and BPZ results
Catalog: 822.cat
Black segments are analyzed here.   Roll mouse over color images to view segments.
Best viewed in a wide browser window (1200 pixels or more).   Download SED & P(z) plots to view larger versions.
In P(z) plots: Yellow lines mark the cluster redshift z = 0.282,  

Object #822   x,y = (3957, 3494)   RA, Dec = (08:42:52.008, 36:22:50.88) = (130.71670, 36.38080)   BPZ = 1.593 [1.529--1.934]   type = 11.00 (SB11_A_0_l)   stellarity = 1.00   chisq2 = 118.95   ODDS = 0.82   z_cluster = 0.282