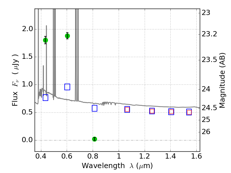
ABELL697 ACS+IR detection object #537

Color images and BPZ results
Catalog: 537.cat
Black segments are analyzed here.   Roll mouse over color images to view segments.
Best viewed in a wide browser window (1200 pixels or more).   Download SED & P(z) plots to view larger versions.
In P(z) plots: Yellow lines mark the cluster redshift z = 0.282,  

Object #537   x,y = (3817, 3745)   RA, Dec = (08:42:52.680, 36:23:06.00) = (130.71950, 36.38500)   BPZ = 0.016 [0.010--0.031]   type = 11.00 (SB11_A_0_l)   stellarity = 0.96   chisq2 = 300.36   ODDS = 1.00   z_cluster = 0.282