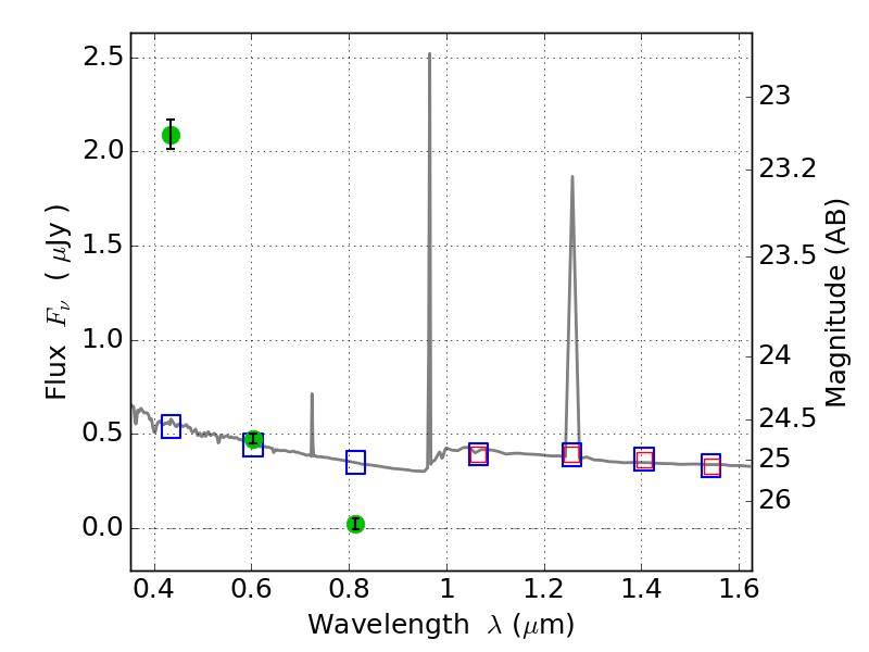
ABELL697 ACS+IR detection object #4605

Color images and BPZ results
Catalog: 4605.cat
Black segments are analyzed here.   Roll mouse over color images to view segments.
Best viewed in a wide browser window (1200 pixels or more).   Download SED & P(z) plots to view larger versions.
In P(z) plots: Yellow lines mark the cluster redshift z = 0.282,  

Object #4605   x,y = (1386, 715)   RA, Dec = (08:43:04.776, 36:20:04.20) = (130.76990, 36.33450)   BPZ = 1.593 [1.524--1.945]   type = 11.00 (SB11_A_0_l)   stellarity = 0.96   chisq2 = 379.08   ODDS = 0.83   z_cluster = 0.282