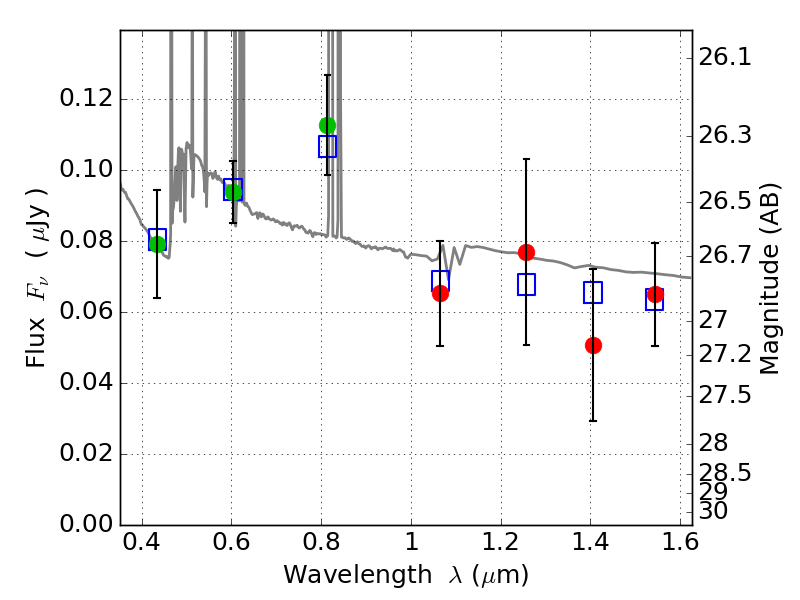
ABELL697 ACS+IR detection object #3932

Color images and BPZ results
Catalog: 3932.cat
Black segments are analyzed here.   Roll mouse over color images to view segments.
Best viewed in a wide browser window (1200 pixels or more).   Download SED & P(z) plots to view larger versions.
In P(z) plots: Yellow lines mark the cluster redshift z = 0.282,  

Object #3932   x,y = (3050, 1416)   RA, Dec = (08:42:56.496, 36:20:46.32) = (130.73540, 36.34620)   BPZ = 0.254 [0.089--3.186]   type = 11.00 (SB11_A_0_l)   stellarity = 0.10   chisq2 = 0.19   ODDS = 0.37   z_cluster = 0.282