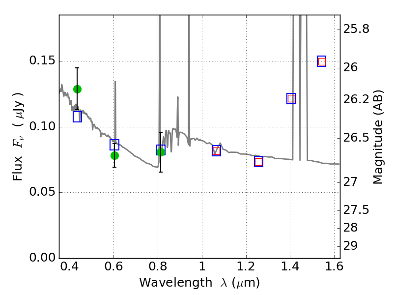
ABELL697 ACS+IR detection object #3896

Color images and BPZ results
Catalog: 3896.cat
Black segments are analyzed here.   Roll mouse over color images to view segments.
Best viewed in a wide browser window (1200 pixels or more).   Download SED & P(z) plots to view larger versions.
In P(z) plots: Yellow lines mark the cluster redshift z = 0.282,  

Object #3896   x,y = (2375, 1457)   RA, Dec = (08:42:59.856, 36:20:48.84) = (130.74940, 36.34690)   BPZ = 1.170 [0.797--2.442]   type = 11.00 (SB11_A_0_l)   stellarity = 0.00   chisq2 = 1.67   ODDS = 0.15   z_cluster = 0.282