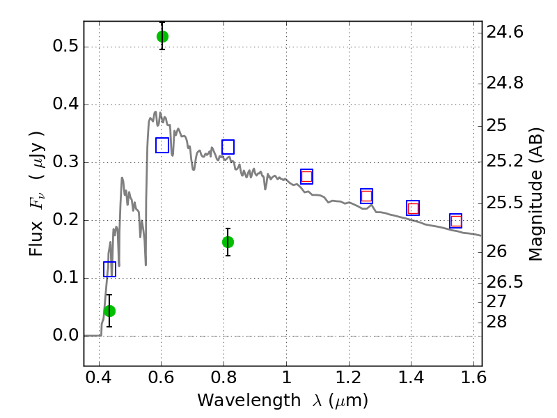
ABELL697 ACS+IR detection object #3801

Color images and BPZ results
Catalog: 3801.cat
Black segments are analyzed here.   Roll mouse over color images to view segments.
Best viewed in a wide browser window (1200 pixels or more).   Download SED & P(z) plots to view larger versions.
In P(z) plots: Yellow lines mark the cluster redshift z = 0.282,  

Object #3801   x,y = (974, 1556)   RA, Dec = (08:43:06.816, 36:20:54.60) = (130.77840, 36.34850)   BPZ = 3.542 [3.356--3.646]   type = 11.00 (SB11_A_0_l)   stellarity = 0.95   chisq2 = 64.60   ODDS = 0.97   z_cluster = 0.282