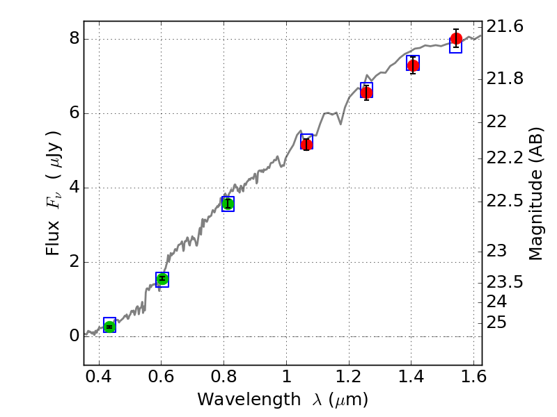
ABELL697 ACS+IR detection object #3395

Color images and BPZ results
Catalog: 3395.cat
Black segments are analyzed here.   Roll mouse over color images to view segments.
Best viewed in a wide browser window (1200 pixels or more).   Download SED & P(z) plots to view larger versions.
In P(z) plots: Yellow lines mark the cluster redshift z = 0.282,  

Object #3395   x,y = (2126, 1788)   RA, Dec = (08:43:01.080, 36:21:08.64) = (130.75450, 36.35240)   BPZ = 0.377 [0.286--0.411]   type = 3.70 (Ell4_A_0 - Ell5_A_0)   stellarity = 0.19   chisq2 = 0.05   ODDS = 0.87   z_cluster = 0.282