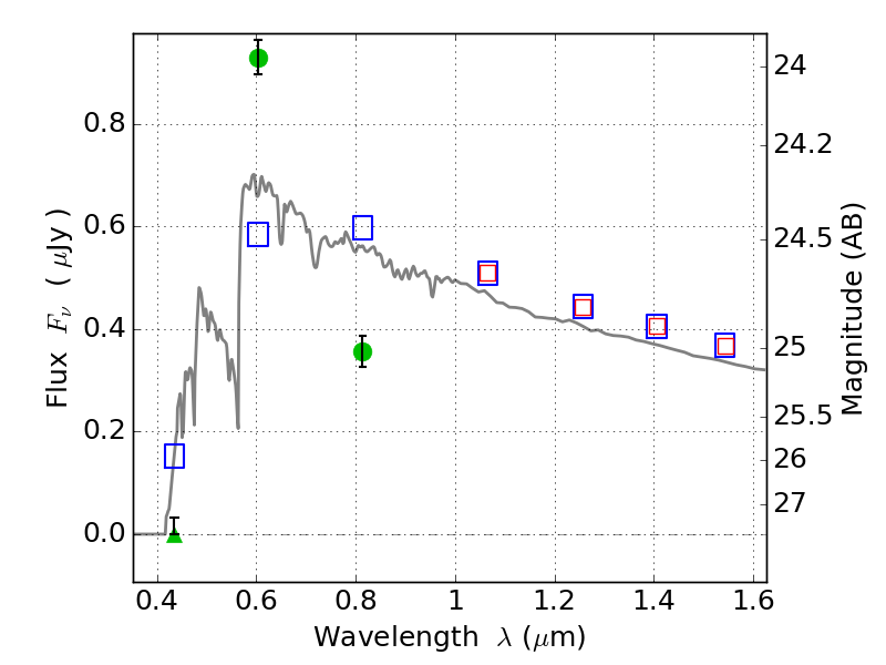
ABELL697 ACS+IR detection object #3380

Color images and BPZ results
Catalog: 3380.cat
Black segments are analyzed here.   Roll mouse over color images to view segments.
Best viewed in a wide browser window (1200 pixels or more).   Download SED & P(z) plots to view larger versions.
In P(z) plots: Yellow lines mark the cluster redshift z = 0.282,  

Object #3380   x,y = (4753, 1797)   RA, Dec = (08:42:48.048, 36:21:09.00) = (130.70020, 36.35250)   BPZ = 3.638 [3.572--3.705]   type = 11.00 (SB11_A_0_l)   stellarity = 0.96   chisq2 = 76.30   ODDS = 1.00   z_cluster = 0.282