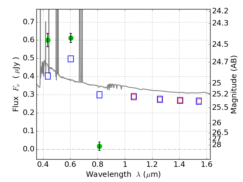
ABELL697 ACS+IR detection object #3269

Color images and BPZ results
Catalog: 3269.cat
Black segments are analyzed here.   Roll mouse over color images to view segments.
Best viewed in a wide browser window (1200 pixels or more).   Download SED & P(z) plots to view larger versions.
In P(z) plots: Yellow lines mark the cluster redshift z = 0.282,  

Object #3269   x,y = (4729, 1890)   RA, Dec = (08:42:48.168, 36:21:14.76) = (130.70070, 36.35410)   BPZ = 0.018 [0.010--0.036]   type = 11.00 (SB11_A_0_l)   stellarity = 0.95   chisq2 = 71.38   ODDS = 1.00   z_cluster = 0.282