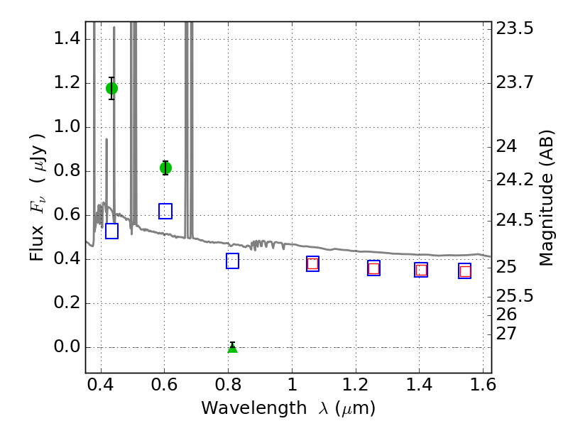
ABELL697 ACS+IR detection object #3041

Color images and BPZ results
Catalog: 3041.cat
Black segments are analyzed here.   Roll mouse over color images to view segments.
Best viewed in a wide browser window (1200 pixels or more).   Download SED & P(z) plots to view larger versions.
In P(z) plots: Yellow lines mark the cluster redshift z = 0.282,  

Object #3041   x,y = (4664, 2017)   RA, Dec = (08:42:48.480, 36:21:22.32) = (130.70200, 36.35620)   BPZ = 0.017 [0.010--0.034]   type = 11.00 (SB11_A_0_l)   stellarity = 0.95   chisq2 = 187.74   ODDS = 1.00   z_cluster = 0.282