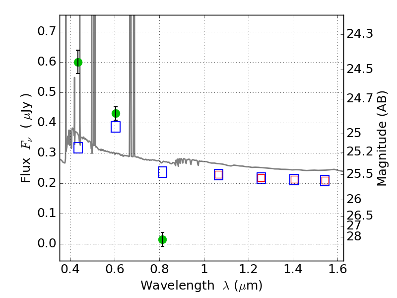
ABELL697 ACS+IR detection object #2861

Color images and BPZ results
Catalog: 2861.cat
Black segments are analyzed here.   Roll mouse over color images to view segments.
Best viewed in a wide browser window (1200 pixels or more).   Download SED & P(z) plots to view larger versions.
In P(z) plots: Yellow lines mark the cluster redshift z = 0.282,  

Object #2861   x,y = (319, 3000)   RA, Dec = (08:43:10.080, 36:22:21.36) = (130.79200, 36.37260)   BPZ = 0.021 [0.011--2.005]   type = 11.00 (SB11_A_0_l)   stellarity = 0.96   chisq2 = 80.17   ODDS = 0.40   z_cluster = 0.282