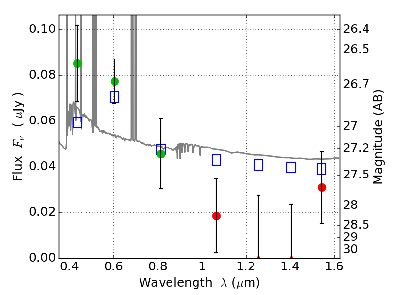
ABELL697 ACS+IR detection object #2728

Color images and BPZ results
Catalog: 2728.cat
Black segments are analyzed here.   Roll mouse over color images to view segments.
Best viewed in a wide browser window (1200 pixels or more).   Download SED & P(z) plots to view larger versions.
In P(z) plots: Yellow lines mark the cluster redshift z = 0.282,  

Object #2728   x,y = (2685, 2188)   RA, Dec = (08:42:58.320, 36:21:32.76) = (130.74300, 36.35910)   BPZ = 0.045 [0.029--3.036]   type = 11.00 (SB11_A_0_l)   stellarity = 0.00   chisq2 = 2.46   ODDS = 0.11   z_cluster = 0.282