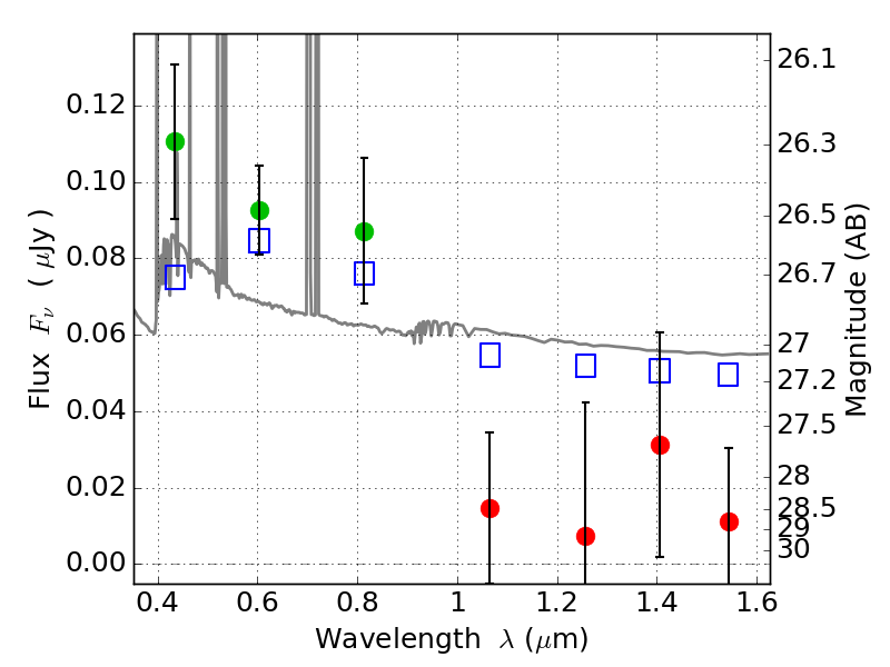
ABELL697 ACS+IR detection object #2634

Color images and BPZ results
Catalog: 2634.cat
Black segments are analyzed here.   Roll mouse over color images to view segments.
Best viewed in a wide browser window (1200 pixels or more).   Download SED & P(z) plots to view larger versions.
In P(z) plots: Yellow lines mark the cluster redshift z = 0.282,  

Object #2634   x,y = (2632, 2235)   RA, Dec = (08:42:58.584, 36:21:35.28) = (130.74410, 36.35980)   BPZ = 0.069 [0.029--2.993]   type = 11.00 (SB11_A_0_l)   stellarity = 0.00   chisq2 = 3.25   ODDS = 0.22   z_cluster = 0.282