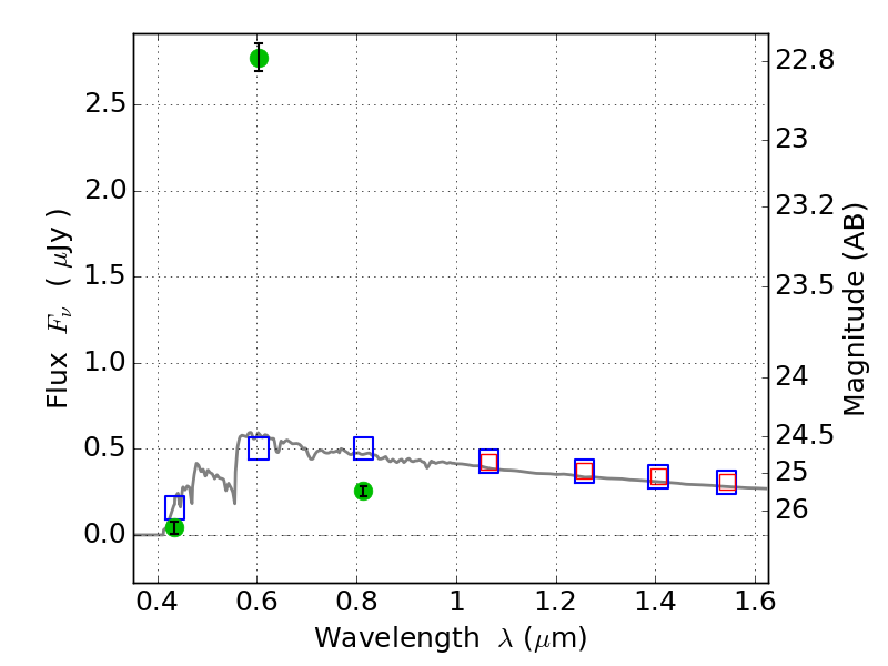
ABELL697 ACS+IR detection object #1638

Color images and BPZ results
Catalog: 1638.cat
Black segments are analyzed here.   Roll mouse over color images to view segments.
Best viewed in a wide browser window (1200 pixels or more).   Download SED & P(z) plots to view larger versions.
In P(z) plots: Yellow lines mark the cluster redshift z = 0.282,  

Object #1638   x,y = (404, 2788)   RA, Dec = (08:43:09.648, 36:22:08.76) = (130.79020, 36.36910)   BPZ = 3.578 [3.434--3.651]   type = 11.00 (SB11_A_0_l)   stellarity = 0.92   chisq2 = 675.27   ODDS = 0.99   z_cluster = 0.282