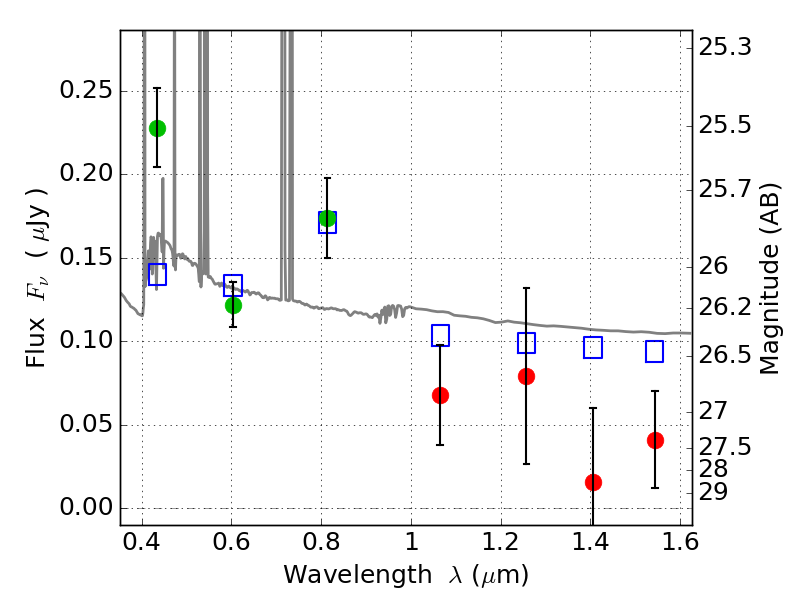
ABELL697 ACS+IR detection object #1624

Color images and BPZ results
Catalog: 1624.cat
Black segments are analyzed here.   Roll mouse over color images to view segments.
Best viewed in a wide browser window (1200 pixels or more).   Download SED & P(z) plots to view larger versions.
In P(z) plots: Yellow lines mark the cluster redshift z = 0.282,  

Object #1624   x,y = (1741, 2786)   RA, Dec = (08:43:03.000, 36:22:08.40) = (130.76250, 36.36900)   BPZ = 0.095 [0.079--2.513]   type = 11.00 (SB11_A_0_l)   stellarity = 0.00   chisq2 = 4.75   ODDS = 0.32   z_cluster = 0.282