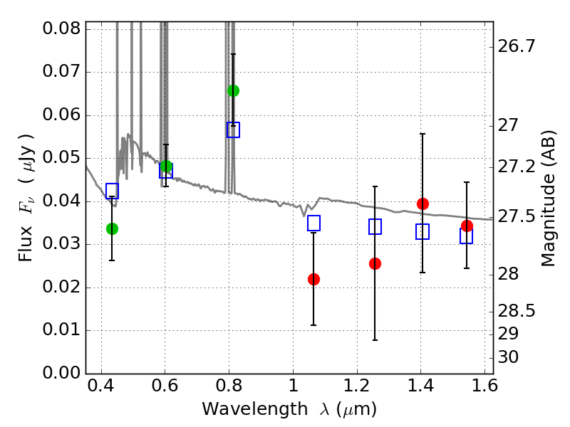
ABELL697 ACS+IR detection object #1441

Color images and BPZ results
Catalog: 1441.cat
Black segments are analyzed here.   Roll mouse over color images to view segments.
Best viewed in a wide browser window (1200 pixels or more).   Download SED & P(z) plots to view larger versions.
In P(z) plots: Yellow lines mark the cluster redshift z = 0.282,  

Object #1441   x,y = (3801, 3035)   RA, Dec = (08:42:52.776, 36:22:23.52) = (130.71990, 36.37320)   BPZ = 0.206 [0.103--3.335]   type = 11.00 (SB11_A_0_l)   stellarity = 0.83   chisq2 = 0.96   ODDS = 0.34   z_cluster = 0.282