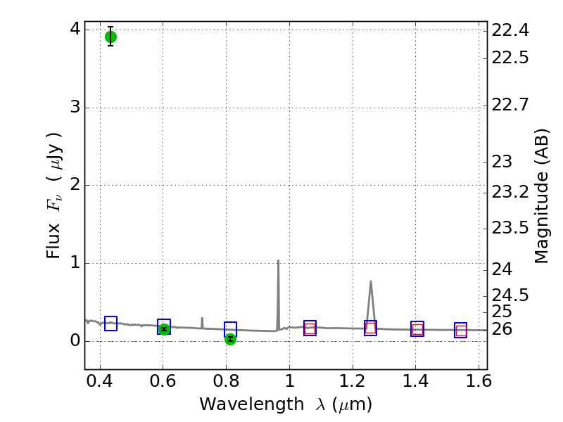
ABELL697 ACS+IR detection object #1100

Color images and BPZ results
Catalog: 1100.cat
Black segments are analyzed here.   Roll mouse over color images to view segments.
Best viewed in a wide browser window (1200 pixels or more).   Download SED & P(z) plots to view larger versions.
In P(z) plots: Yellow lines mark the cluster redshift z = 0.282,  

Object #1100   x,y = (4074, 3264)   RA, Dec = (08:42:51.408, 36:22:37.20) = (130.71420, 36.37700)   BPZ = 1.592 [1.350--2.169]   type = 11.00 (SB11_A_0_l)   stellarity = 1.00   chisq2 = 953.12   ODDS = 0.40   z_cluster = 0.282