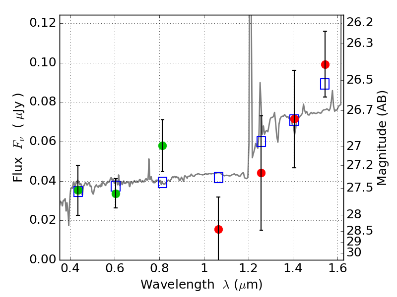
ABELL697 ACS+IR detection object #3106

Color images and BPZ results
Catalog: 3106.cat
Black segments are analyzed here.   Roll mouse over color images to view segments.
Best viewed in a wide browser window (1200 pixels or more).   Download SED & P(z) plots to view larger versions.
In P(z) plots: Yellow lines mark the cluster redshift z = 0.282,  

Object #3106   x,y = (3249, 1988)   RA, Dec = (08:42:55.512, 36:21:20.52) = (130.73130, 36.35570)   BPZ = 2.244 [0.459--3.228]   type = 9.50 (SB3_B10 - SB2_B10)   chisq2 = 1.19   ODDS = 0.25   z_cluster = 0.282