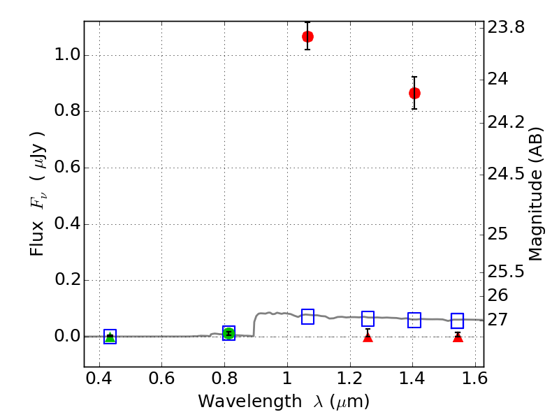
ABELL697 ACS+IR detection object #2801

Color images and BPZ results
Catalog: 2801.cat
Black segments are analyzed here.   Roll mouse over color images to view segments.
Best viewed in a wide browser window (1200 pixels or more).   Download SED & P(z) plots to view larger versions.
In P(z) plots: Yellow lines mark the cluster redshift z = 0.282,  

Object #2801   x,y = (3359, 2070)   RA, Dec = (08:42:54.960, 36:21:25.56) = (130.72900, 36.35710)   BPZ = 6.363 [6.019--6.556]   type = 11.00 (SB11_A_0_l)   chisq2 = 107.90   ODDS = 0.95   z_cluster = 0.282