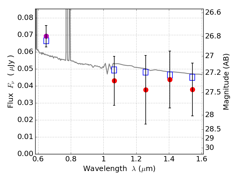
ABELL697-PAR IR detection object #2101

Color images and BPZ results
Catalog: 2101.cat
Black segments are analyzed here.   Roll mouse over color images to view segments.
Best viewed in a wide browser window (1200 pixels or more).   Download SED & P(z) plots to view larger versions.
In P(z) plots: Yellow lines mark the cluster redshift z = 0.282,  

Object #2101   x,y = (1072, 2002)   RA, Dec = (08:42:55.344, 36:26:59.64) = (130.73060, 36.44990)   BPZ = 0.181 [0.067--3.109]   type = 11.00 (SB11_A_0_l)   stellarity = 0.36   chisq2 = 0.38   ODDS = 0.10   z_cluster = 0.282