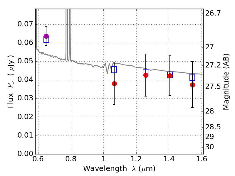
ABELL697-PAR IR detection object #1995

Color images and BPZ results
Catalog: 1995.cat
Black segments are analyzed here.   Roll mouse over color images to view segments.
Best viewed in a wide browser window (1200 pixels or more).   Download SED & P(z) plots to view larger versions.
In P(z) plots: Yellow lines mark the cluster redshift z = 0.282,  

Object #1995   x,y = (2041, 2109)   RA, Dec = (08:42:50.520, 36:27:06.12) = (130.71050, 36.45170)   BPZ = 0.185 [0.072--3.045]   type = 11.00 (SB11_A_0_l)   stellarity = 0.38   chisq2 = 0.29   ODDS = 0.10   z_cluster = 0.282