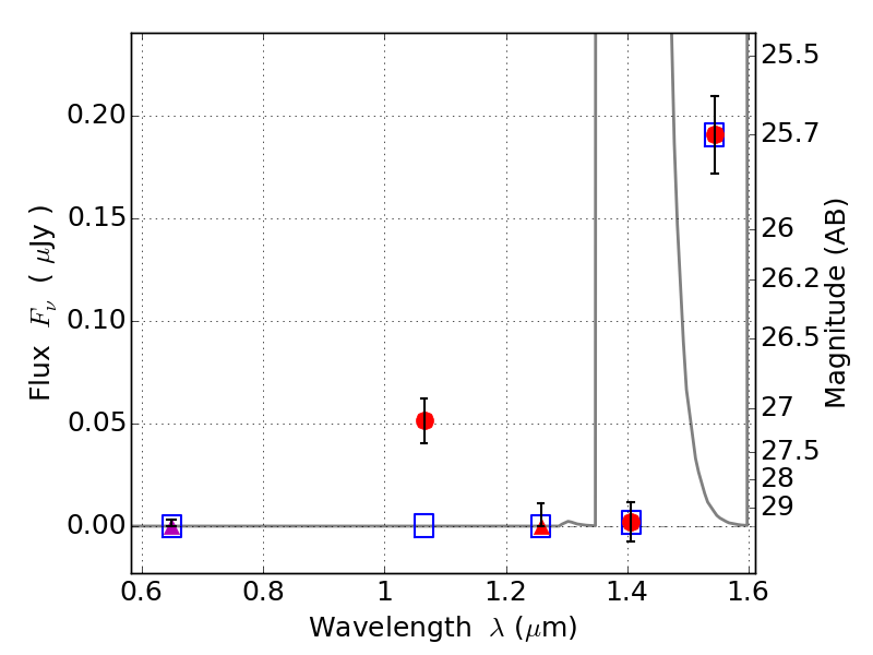
ABELL697-PAR IR detection object #250

Color images and BPZ results
Catalog: 250.cat
Black segments are analyzed here.   Roll mouse over color images to view segments.
Best viewed in a wide browser window (1200 pixels or more).   Download SED & P(z) plots to view larger versions.
In P(z) plots: Yellow lines mark the cluster redshift z = 0.282,  

Object #250   x,y = (1474, 3130)   RA, Dec = (08:42:53.352, 36:28:07.32) = (130.72230, 36.46870)   BPZ = 12.271 [11.970--12.964]   type = 10.70 (SB11_A_0_l - SB3_B10)   stellarity = 0.75   chisq2 = 4.64   ODDS = 0.85   z_cluster = 0.282