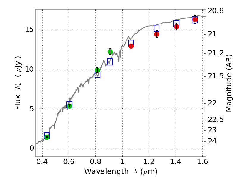
ABELL665 IR detection object #914

Color images and BPZ results
Catalog: 914.cat
Black segments are analyzed here.   Roll mouse over color images to view segments.
Best viewed in a wide browser window (1200 pixels or more).   Download SED & P(z) plots to view larger versions.
In P(z) plots: Yellow lines mark the cluster redshift z = 0.182,  

Object #914   x,y = (2990, 1567)   RA, Dec = (08:30:59.952, 65:49:44.40) = (127.74980, 65.82900)   BPZ = 0.139 [0.067--0.166]   type = 4.00 (Ell4_A_0)   stellarity = 0.03   chisq2 = 0.44   ODDS = 0.86   z_cluster = 0.182