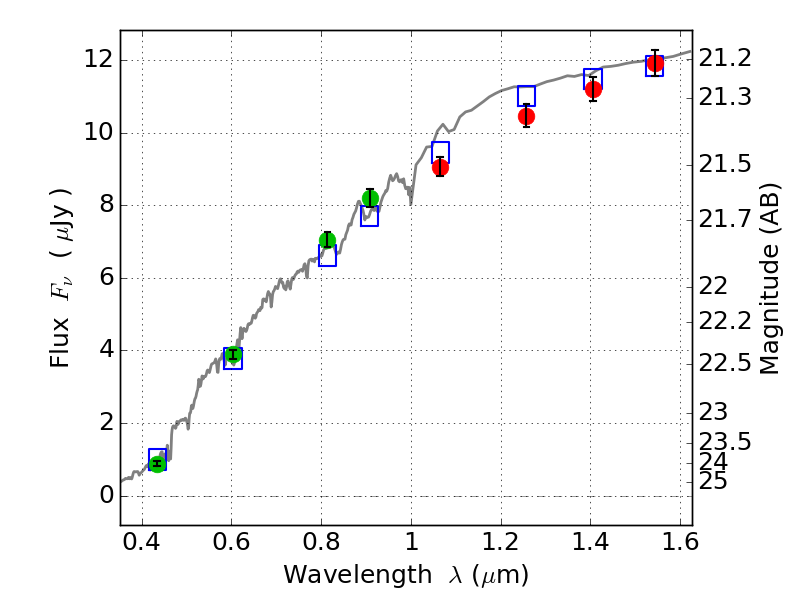
ABELL665 IR detection object #810

Color images and BPZ results
Catalog: 810.cat
Black segments are analyzed here.   Roll mouse over color images to view segments.
Best viewed in a wide browser window (1200 pixels or more).   Download SED & P(z) plots to view larger versions.
In P(z) plots: Yellow lines mark the cluster redshift z = 0.182,  

Object #810   x,y = (2945, 1957)   RA, Dec = (08:31:00.384, 65:50:07.80) = (127.75160, 65.83550)   BPZ = 0.172 [0.126--0.199]   type = 4.00 (Ell4_A_0)   stellarity = 0.03   chisq2 = 0.29   ODDS = 0.98   z_cluster = 0.182