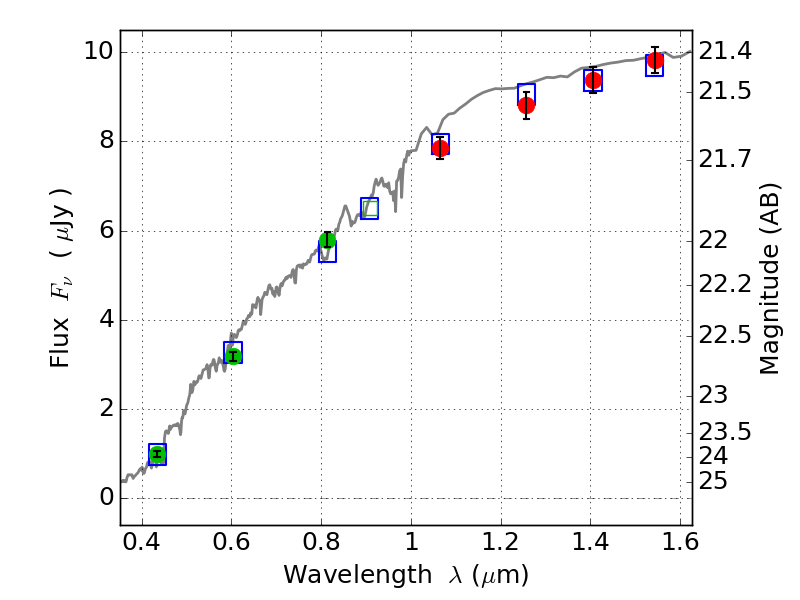
ABELL665 IR detection object #709

Color images and BPZ results
Catalog: 709.cat
Black segments are analyzed here.   Roll mouse over color images to view segments.
Best viewed in a wide browser window (1200 pixels or more).   Download SED & P(z) plots to view larger versions.
In P(z) plots: Yellow lines mark the cluster redshift z = 0.182,  

Object #709   x,y = (2478, 2002)   RA, Dec = (08:31:04.944, 65:50:10.32) = (127.77060, 65.83620)   BPZ = 0.128 [0.059--0.162]   type = 3.60 (Ell4_A_0 - Ell5_A_0)   stellarity = 0.03   chisq2 = 0.09   ODDS = 0.88   z_cluster = 0.182