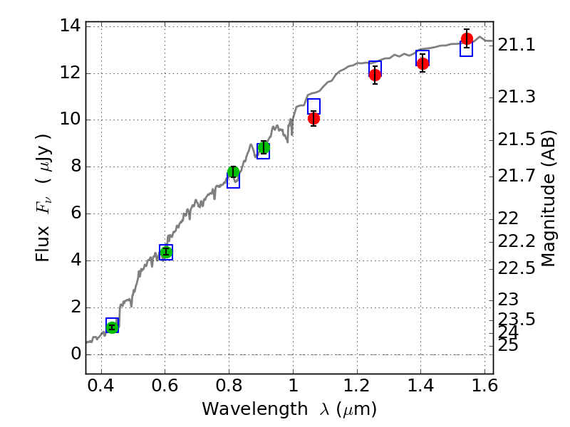
ABELL665 IR detection object #692

Color images and BPZ results
Catalog: 692.cat
Black segments are analyzed here.   Roll mouse over color images to view segments.
Best viewed in a wide browser window (1200 pixels or more).   Download SED & P(z) plots to view larger versions.
In P(z) plots: Yellow lines mark the cluster redshift z = 0.182,  

Object #692   x,y = (2342, 1945)   RA, Dec = (08:31:06.264, 65:50:07.08) = (127.77610, 65.83530)   BPZ = 0.151 [0.090--0.182]   type = 4.00 (Ell4_A_0)   stellarity = 0.01   chisq2 = 0.17   ODDS = 0.94   z_cluster = 0.182