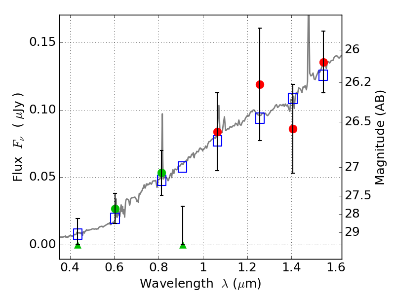
ABELL665 IR detection object #666

Color images and BPZ results
Catalog: 666.cat
Black segments are analyzed here.   Roll mouse over color images to view segments.
Best viewed in a wide browser window (1200 pixels or more).   Download SED & P(z) plots to view larger versions.
In P(z) plots: Yellow lines mark the cluster redshift z = 0.182,  

Object #666   x,y = (3341, 2034)   RA, Dec = (08:30:56.520, 65:50:12.12) = (127.73550, 65.83670)   BPZ = 0.631 [0.322--3.689]   type = 6.50 (Scd_B10 - Sbc_B10)   stellarity = 0.00   chisq2 = 1.05   ODDS = 0.09   z_cluster = 0.182