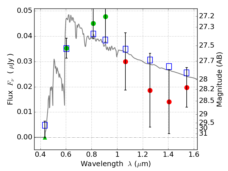
ABELL665 IR detection object #569

Color images and BPZ results
Catalog: 569.cat
Black segments are analyzed here.   Roll mouse over color images to view segments.
Best viewed in a wide browser window (1200 pixels or more).   Download SED & P(z) plots to view larger versions.
In P(z) plots: Yellow lines mark the cluster redshift z = 0.182,  

Object #569   x,y = (1997, 2206)   RA, Dec = (08:31:09.648, 65:50:22.56) = (127.79020, 65.83960)   BPZ = 3.851 [3.529--4.152]   type = 11.00 (SB11_A_0_l)   stellarity = 0.08   chisq2 = 0.82   ODDS = 0.77   z_cluster = 0.182