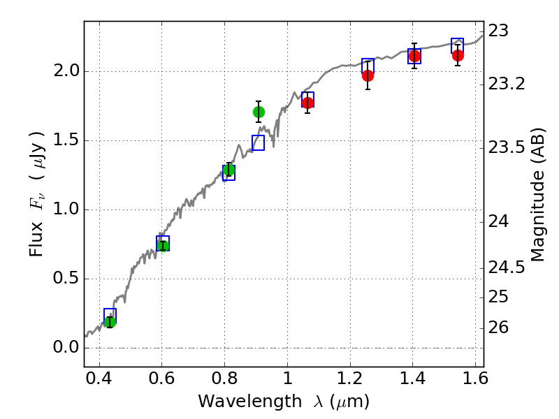
ABELL665 IR detection object #436

Color images and BPZ results
Catalog: 436.cat
Black segments are analyzed here.   Roll mouse over color images to view segments.
Best viewed in a wide browser window (1200 pixels or more).   Download SED & P(z) plots to view larger versions.
In P(z) plots: Yellow lines mark the cluster redshift z = 0.182,  

Object #436   x,y = (4175, 2416)   RA, Dec = (08:30:48.360, 65:50:35.16) = (127.70150, 65.84310)   BPZ = 0.121 [0.049--0.171]   type = 3.90 (Ell4_A_0 - Ell5_A_0)   stellarity = 0.01   chisq2 = 0.47   ODDS = 0.84   z_cluster = 0.182